[Show all top banners]

tregor
Replies to this thread:

More by tregor
What people are reading
Subscribers
:: Subscribe
Back to: Kurakani General Refresh page to view new replies
 solve this equation

[Please view other pages to see the rest of the postings. Total posts: 63]
PAGE:   1 2 3 4 NEXT PAGE
[VIEWED 33113 TIMES]
SAVE! for ease of future access.
The postings in this thread span 4 pages, View Last 20 replies.
Posted on 03-01-06 1:15 PM     Reply [Subscribe]
Login in to Rate this Post:     0       ?    
 

can anyone solve: x^2 - 2^x =0 by algebraic method???
(x squared minus two to the power x equals zero)
of course, without using graphing calculator.
 
Posted on 03-01-06 1:21 PM     Reply [Subscribe]
Login in to Rate this Post:     0       ?    
 

x = 2 satisfies the equation ......
 
Posted on 03-01-06 1:29 PM     Reply [Subscribe]
Login in to Rate this Post:     0       ?    
 

isnt that a basic alzebra ,

x = 2 and 4
 
Posted on 03-01-06 1:35 PM     Reply [Subscribe]
Login in to Rate this Post:     0       ?    
 

Take a logarithm of the equation, then segregate the x terms and the constants. Then take the derivative and solve the resulting equation for x.

HTH
 
Posted on 03-01-06 1:47 PM     Reply [Subscribe]
Login in to Rate this Post:     0       ?    
 

hunk ji kasari ho ??

x^2 = 2^ x
2logx = xlog2
2logx = 0.301x
2(d/dx)logx = 0.301 (d/dx) x
1/x = 0.1505
x= 6.64
milena ni ta , kasari ho yeso gardine dukha garne ho ki
 
Posted on 03-01-06 1:52 PM     Reply [Subscribe]
Login in to Rate this Post:     0       ?    
 

x = 0 and 2

x^2-2x = 0
x^2-2x+1=1
(x-1)^2=1
X=2
 
Posted on 03-01-06 1:57 PM     Reply [Subscribe]
Login in to Rate this Post:     0       ?    
 

hina haina, nepali chori, you found the defivative, i.e the maxima of the curve. it is a smooth curve which is easy to show as it has derivtives for all values of x. but 2, and 4 arents the only points.
 
Posted on 03-01-06 1:57 PM     Reply [Subscribe]
Login in to Rate this Post:     0       ?    
 

* bro , teslai bhanchha "fluke" , process is wrong, answer is luckily right . MCQ bhaidiyeko bhaye ta thyakkai mileko ni yaar
 
Posted on 03-01-06 2:47 PM     Reply [Subscribe]
Login in to Rate this Post:     0       ?    
 

for this particular curve the minima is the solution.......
 
Posted on 03-01-06 4:43 PM     Reply [Subscribe]
Login in to Rate this Post:     0       ?    
 
 
Posted on 03-01-06 4:47 PM     Reply [Subscribe]
Login in to Rate this Post:     0       ?    
 

sujanks ko herda ta malai aaile 4 class ko yad aayo ni
maile tyo ta char class ma nai gareko hai¨¨

hum............
 
Posted on 03-01-06 4:51 PM     Reply [Subscribe]
Login in to Rate this Post:     0       ?    
 

Sujan, thats Brilliant. ehe!!! Verify garnu paryo... :D
 
Posted on 03-01-06 4:56 PM     Reply [Subscribe]
Login in to Rate this Post:     0       ?    
 

Panpate,
You learned that in 4th grade?
I think I did it in 11th. However, there is a mistake in that solution, I hope sujanks will finally let others know about it, or someone else can find it.
 
Posted on 03-01-06 4:57 PM     Reply [Subscribe]
Login in to Rate this Post:     0       ?    
 

4 hoina mitra.. 6 class ma hola..., first time algebra.. class 6 ma padauthyo kyara.. unless you went to school that started algebra in class 4
 
Posted on 03-01-06 5:01 PM     Reply [Subscribe]
Login in to Rate this Post:     0       ?    
 

My informations stand as before.
Tyo 4 mai ho
tara ke garne aaile dimag budo bhayechha mistake nai patta lagauna sakina yar....
 
Posted on 03-01-06 5:55 PM     Reply [Subscribe]
Login in to Rate this Post:     0       ?    
 

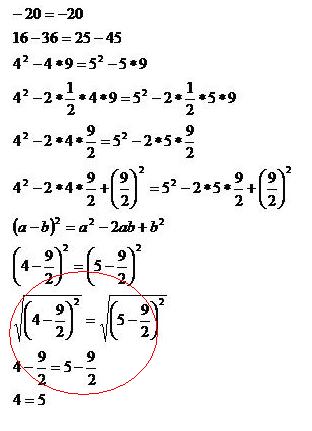
Lau kasle kahile padheko thaha chhaina tara let me explain where it is wrong :

when you take the roots { Sq. Rt( 4-(9/2))^2} , there are + and - values on both side . after that its not you who take either positive or negatinve on both side . You take the sign on one side and its mathematics that guides what sign you have to take on other side.

Well any way this did remind me of my school days and do keep on throwing these memories of past.
 
Posted on 03-01-06 6:20 PM     Reply [Subscribe]
Login in to Rate this Post:     0       ?    
 

yupe, the solution violates the law of indices. the square root of any positive number results in a positive and negative number of same value. so, the square root of 4 is not necessarily equal to 2, it could be -2.
.
.

 
Posted on 03-01-06 6:56 PM     Reply [Subscribe]
Login in to Rate this Post:     0       ?    
 

Is that the question look like? then I solved it! :)

 
Posted on 03-01-06 7:41 PM     Reply [Subscribe]
Login in to Rate this Post:     0       ?    
 

x^2-2x = 0
x^2-2x+1=1
(x-1)^2=1
x-1 = 1 OR x-1 = -1

therefore x =0 or x =2

yesari kina mildaina??? bujhena ali!!! dimag ali slow bhayo..mafi pau
 
Posted on 03-01-06 7:43 PM     Reply [Subscribe]
Login in to Rate this Post:     0       ?    
 

aye sorry..question nai galat padhechu!! oops
 



PAGE:   1 2 3 4 NEXT PAGE
Please Log in! to be able to reply! If you don't have a login, please register here.

YOU CAN ALSO



IN ORDER TO POST!




Within last 365 days
Recommended Popular Threads Controvertial Threads
ANA and AJAY KUMAR DEV. RAPISTS CONVENTION
NRN card pros and cons?
TPS To F-1 COS
Nepal TPS has been Extended !!!
Got my F1 reinstatement approved within 3 months(was out of F1 for almost 2 years)
Has anyone here successfully reinstated to F-1 status after a year-long gap following a drop from F-1?
US citizen Petitioning my wife who was out of status when she was in H1B. What to do ?
Democrat wants to run election like in India. Chaos and Confusing to voters.
Please ask KRISTI NOEM in her facebook and other social media to renew TPS
Supreme Court allows Trump to end TPS for Venezuelans
Nepal TPS decision
TPS to F1 Status.
legal Query for married nepali girl now have taken US citizenship
ए १ पनि पुगेनछ ?
Trump’s “Big Beautiful Bill” is straight-up xenophobic class warfare. Let’s call it what it is.
2020 : Why No Trump !
Business Ideas in Nepal?
A legit Non-Profit organization "United For TPS Nepal "
Leave messages on US congressman's facebook to support TPS
TPS of Nepal to be automatically extended for 6 months based on South Sudan decision
NOTE: The opinions here represent the opinions of the individual posters, and not of Sajha.com. It is not possible for sajha.com to monitor all the postings, since sajha.com merely seeks to provide a cyber location for discussing ideas and concerns related to Nepal and the Nepalis. Please send an email to admin@sajha.com using a valid email address if you want any posting to be considered for deletion. Your request will be handled on a one to one basis. Sajha.com is a service please don't abuse it. - Thanks.

Sajha.com Privacy Policy

Like us in Facebook!

↑ Back to Top
free counters