[Show all top banners]

humdrum
Replies to this thread:

More by humdrum
What people are reading
Subscribers
:: Subscribe
Back to: Kurakani General Refresh page to view new replies
 Murphy's Love Laws....
[VIEWED 6993 TIMES]
SAVE! for ease of future access.
Posted on 10-27-05 6:37 AM     Reply [Subscribe]
Login in to Rate this Post:     0       ?    
 


Murphy's Love Laws

All the good ones are taken.

If the person isn't taken, there's a reason. (corr. to 1)

The nicer someone is, the farther away (s)he is from you.

Brains x Beauty x Availability = Constant.

The amount of love someone feels for you is inversely proportional to how much you love them.

Money can't buy love, but it sure gets you a great bargaining position.

The best things in the world are free --- and worth every penny of it.

Every kind action has a not-so-kind reaction.

Nice guys(girls) finish last.

If it seems too good to be true, it probably is.

Availability is a function of time. The minute you get interested is the minute they find someone else.

-------------------------------------------------
Hallelujah for "Murphy's Law..."

HD

 
Posted on 10-27-05 7:55 AM     Reply [Subscribe]
Login in to Rate this Post:     0       ?    
 

Murphy's law is too classical, here is the Maafia's law.


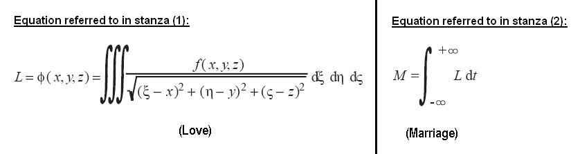
(1)
----------------------------------------------------
Let "x" = beauty, "y" = manners well-bred,
let "z" = fortune (this is obligatory).
Let "L" = love, then our philosopher said,
L is a function of x, y, and z-
of the kind which is known as Potential !

(2)
----------------------------------------------------
Now integrate L with respect to dt,
("t" standing for time and persuation).
Then between proper limits, its easy to see,
the definite integral "Marriage" must be-
a very consise Demonstration !

(3)
------------------------------------------------------
Said he- if the wandering course of the moon,
by Algebra can be predicted.
The female affections must yield to it soon,
but the lady ran off with a dashing dragoon-
and left him amazed and afflicted !

----------------------------------------------------------------------------------------------------------
The mathematical expressions of love, L, and marriage, M, as seen in stanza (1) and (2) can be written as:


 
Posted on 10-27-05 10:50 AM     Reply [Subscribe]
Login in to Rate this Post:     0       ?    
 

Humdrum,

I wonder if Murphy's ancestor Mr. Sod would agree to that? Hehe :)
 
Posted on 10-27-05 11:15 AM     Reply [Subscribe]
Login in to Rate this Post:     0       ?    
 

Smile . . . tomorrow will be worse.
 
Posted on 10-27-05 11:15 AM     Reply [Subscribe]
Login in to Rate this Post:     0       ?    
 
 
Posted on 10-27-05 11:23 AM     Reply [Subscribe]
Login in to Rate this Post:     0       ?    
 
 
Posted on 10-27-05 11:42 AM     Reply [Subscribe]
Login in to Rate this Post:     0       ?    
 
 
Posted on 10-27-05 11:43 AM     Reply [Subscribe]
Login in to Rate this Post:     0       ?    
 
 


Please Log in! to be able to reply! If you don't have a login, please register here.

YOU CAN ALSO



IN ORDER TO POST!




Within last 200 days
Recommended Popular Threads Controvertial Threads
ANA and AJAY KUMAR DEV. RAPISTS CONVENTION
NRN card pros and cons?
Democrat wants to run election like in India. Chaos and Confusing to voters.
legal Query for married nepali girl now have taken US citizenship
ए १ पनि पुगेनछ ?
2020 : Why No Trump !
Breaking News: Ninth Circuit Rejects Government Bid to Undo Nepal TPS Order, Leaves Protections in Place
नोबेल शान्ति पुरस्कार र अशान्त राष्ट्रपतिको बालहठ
200 denaturalization cases per month to the Department of Justice for the 2026 fiscal year.
ALERT: JUDGE RULED NEPAL TPS CAN CONTINUE
Tps decision coming or not nov 18
अब के हाेला त?
BREAKING: FEDERAL JUDGE ORDERS TRUMP ADMINISTRATION TO DELAY TERMINATION OF TPS HUMANITARIAN PROTECTION FOR 60,000 TPS HOLDERS WHO HAVE LIVED IN THE US FOR YEARS
Funny when Nepalis talk about Epstein and injustice
NOV 18th TPS DAY
EAD Filing
मिरो प्रेडिक्शन जन्मेर एमेरिकामा आखा खो ल न पायेका नागरिकता बारे
नेपाली वालमार्ट चोर
Work Permit
H1B
NOTE: The opinions here represent the opinions of the individual posters, and not of Sajha.com. It is not possible for sajha.com to monitor all the postings, since sajha.com merely seeks to provide a cyber location for discussing ideas and concerns related to Nepal and the Nepalis. Please send an email to admin@sajha.com using a valid email address if you want any posting to be considered for deletion. Your request will be handled on a one to one basis. Sajha.com is a service please don't abuse it. - Thanks.

Sajha.com Privacy Policy

Like us in Facebook!

↑ Back to Top
free counters